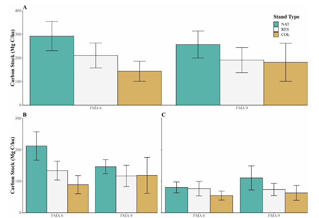
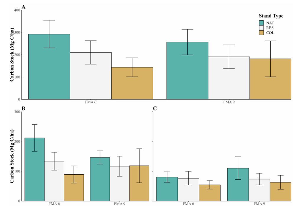
Emprical Results of Mangrove Assessments in FMA 6 Mangrove species composition per stand type in select sites in FMA 6 and FMA 9 BCS, SCS, and TECS of Select FMA 6 Sites (mean [Mg C/ha] ± SE) Biomass Carbon Stock (CS) (A), Aboveground C (B), and Belowground C (C) of NAT, RES, and COL stands in select sites in FMA 6 and 9. CO2 efflux of Select FMA 6 Sites Projected cumulative emissions from mangrove soil CO2 efflux per province in FMA 6 and 9 from 2020 to 2040. Down-core variations of carbon content (%) across select FMA 6 sites. Share this: Share on X (Opens in new window) X Share on Facebook (Opens in new window) Facebook Like Loading...