We are pleased to announce our recent publication titled, “Exploring the potential of low-cost portable CO₂ meter in the assessment of soil CO₂ efflux in Philippine mangroves”, published in the journal SciEnggJ.
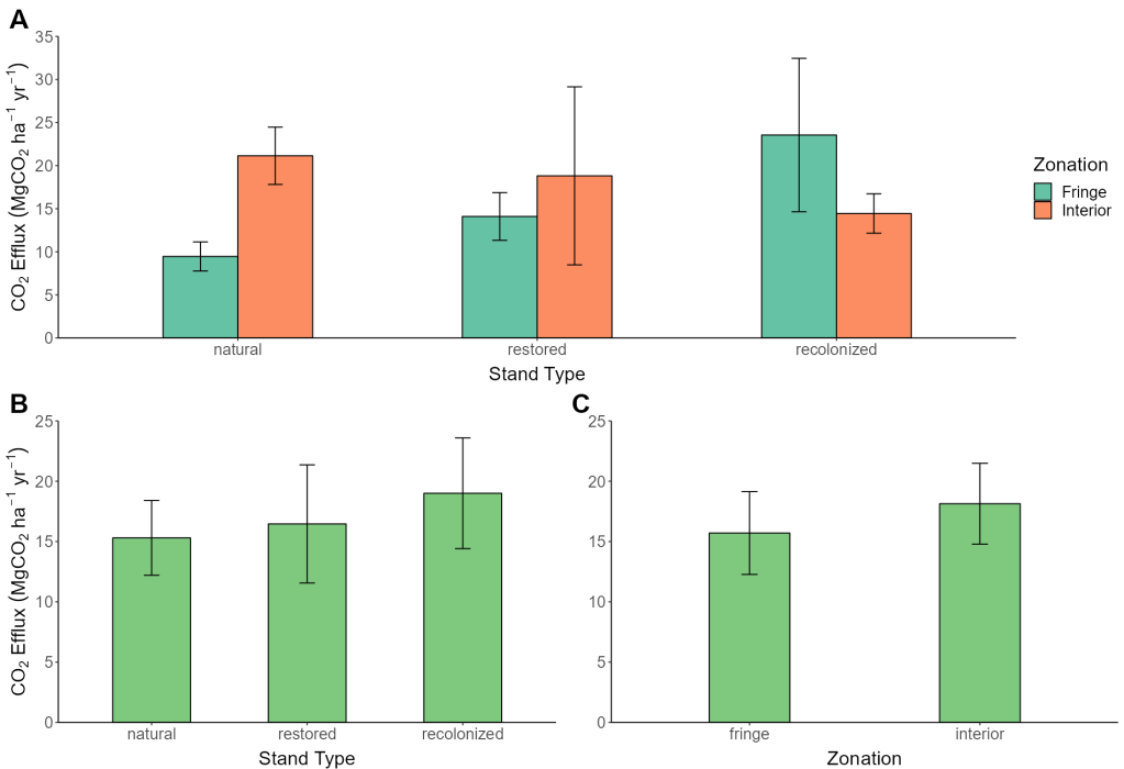
In this study, we measured the carbon dioxide (CO₂) emissions of mangrove soils across natural, restored, and recolonized stands in Prieto Diaz, Sorsogon using a low-cost portable CO₂ meter. Our results showed that recolonized sites emitted higher CO₂ compared to restored and natural stands, with efflux positively correlated with canopy cover and negatively correlated with faunal activity (crab burrowing). While the equipment has limitations in sensitivity compared to conventional gas analyzers, it offers a rapid, accessible, and low-cost approach for in-situ monitoring.

As the Philippines strengthens its blue carbon and climate commitments, our findings highlight the potential of community-based monitoring tools to track CO₂ emissions and mangrove recovery. This method may help local stakeholders assess restoration outcomes and support national reporting to climate targets.

Read the full paper here: Exploring the potential of low-cost portable CO₂ meter in the assessment of soil CO₂ efflux in Philippine mangroves
